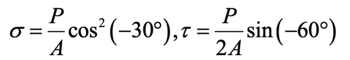
等直杆两端受轴向载荷作用,其横截面面积为A,则n-n斜截面上的正应力和切应力为( )。
A:
B:
C:
D:
                    
A:

B:

C:

D:

举一反三
- 历史曲线构件的图标是( )。 A: <img src="https://image.zhihuishu.com/zhs/onlineexam/ueditor/201911/dfb6b619f35547c590f6e6c6aab95b3f.png" /> B: <img src="https://image.zhihuishu.com/zhs/onlineexam/ueditor/201911/e7e0aaa5f6e84ba89410cc93b06a451a.png" /> C: <img src="https://image.zhihuishu.com/zhs/onlineexam/ueditor/201911/354425393230484ab64d64a718bd9bad.png" /> D: <img src="https://image.zhihuishu.com/zhs/onlineexam/ueditor/201911/1f794e99ed004e3190fa5181c32fe4e8.png" />
 - 下面的表达式中,正确有? A: <img src="https://image.zhihuishu.com/zhs/onlineexam/ueditor/201911/0e169fdf5e354dd4af80ea6386ddeca5.png"/> B: <img src="https://image.zhihuishu.com/zhs/onlineexam/ueditor/201911/5124889b558b4186ba4140ca7692d717.png"/> C: <img src="https://image.zhihuishu.com/zhs/onlineexam/ueditor/201911/f3d2d0d80b744f74899371cae0395a71.png"/> D: <img src="https://image.zhihuishu.com/zhs/onlineexam/ueditor/201911/2af6ef9203e94ea2b993e1ad4d99e5d2.png"/>
 - x(t)的频谱为<img src="https://image.zhihuishu.com/zhs/onlineexam/ueditor/201911/5bcfe4175fcb4fabbdb5f40d00b5343e.png"/>,则<img src="https://image.zhihuishu.com/zhs/onlineexam/ueditor/201911/45b1670ebd6245ff99cc376a8048a645.png" />的频谱为( ) A: <img src="https://image.zhihuishu.com/zhs/onlineexam/ueditor/201911/09bc7326832a4a1fba983e74c6d85d35.png"/> B: <img src="https://image.zhihuishu.com/zhs/onlineexam/ueditor/201911/95fca346a74e4a6cbba601cd6d9e26bf.png"/> C: <img src="https://image.zhihuishu.com/zhs/onlineexam/ueditor/201911/6bf6b83111ad45efac7eb9a37a245c68.png"/> D: 其余选项都不对
 - 下列哪个结果是小振动问题的广义动量? A: <img src="https://image.zhihuishu.com/zhs/onlineexam/ueditor/201911/88a2b0c72d824141a289c01e09f1645f.png"/> B: <img src="https://image.zhihuishu.com/zhs/onlineexam/ueditor/201911/0803ba58456c4a3290e9bdb99759147f.png"/> C: <img src="https://image.zhihuishu.com/zhs/onlineexam/ueditor/201911/ab24cb59059348a3b0ba6cc4e5fca989.png"/> D: <img src="https://image.zhihuishu.com/zhs/onlineexam/ueditor/201911/916cb85fc9d84dda90b43a5f671092a9.png"/>
 - 下列哪个结果等于拉格朗日函数对时间的导数? A: <img src="https://image.zhihuishu.com/zhs/onlineexam/ueditor/201911/71e251af38d1445ba51641b664c72b4e.png"/> B: <img src="https://image.zhihuishu.com/zhs/onlineexam/ueditor/201911/dc04aa798b3d404cb6c1f5e3d08b3242.png"/> C: <img src="https://image.zhihuishu.com/zhs/onlineexam/ueditor/201911/007e2f33b2c04914b2c60d6c01def954.png"/> D: <img src="https://image.zhihuishu.com/zhs/onlineexam/ueditor/201911/81eedf26bc254250a56919c9fb55ff1e.png"/>
 
